華恒孔板流量計
孔板流量計的概述:
孔板流量計是將標準孔板與多參數差壓變送器(或差壓變送器、溫度變送器及壓力變送器)配套組成的高量程比差壓流量裝置,可測量氣體、蒸汽、液體及引的流量,廣泛應用于石油、化工、冶金、電力、供熱、供水等領域的過程控制和測量。節流裝置又稱為差壓式流量計,是由一次檢測件(節流件)和二次裝置(差壓變送器和流量顯示儀)組成廣泛應用于氣體。蒸汽和液體的流量測量。具有結構簡單,維修方便,性能穩定。
孔板流量計的應用:
廣泛應用于石油、化工、冶金、電力、供熱、供水等領域的過程控制和測量。孔板流量計被廣泛適用于煤炭、化工、交通、建筑、輕紡、食品、醫藥、農業、環境保護及人民日常生活等國民經濟各個領域,是發展工農業,節約能源,改進產品質量,提高經濟效益和管理水平的重要工具在國民經濟中占有重要的地位。在過程自動化儀表與裝置中,流量儀表有兩大功用:作為過程自動化控制系統的檢測儀表和測量物料數量的總量表。
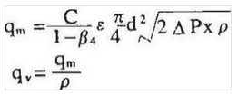
孔板流量計的工作原理:
在已知有關參數的條件下,根據流動連續性原理和伯努利方程可以推導出差壓與流量之間的關系而求得流量。其基本公式如下:

c-流出系數 無量綱
d-工作條件下節流件的節流孔或喉部直徑
D-工作條件下上游管道內徑
qm-質量流量 Kg/s
qv-體積流量 m/s
-直徑比d/D 無量綱
流體的密度Kg/m
可膨脹性系數 無量綱
孔板流量計結構
節流裝置組成
取壓裝置:環室、取壓法蘭、夾持環、導壓管等
測量管
孔板流量計的安裝要求:對直管段的要求一般是是*D后5D,因此在選購孔板流量計時一定要根據流量計的現場工礦情況來選擇適合現場工礦的流量計。
充滿管道的流體,當它們流經管道內的節流裝置時,流束將在節流裝置的節流件處形成局部收縮,從而使流速增加。
孔板流量
▲節流裝置結構易于復制,簡單、牢固,性能穩定可靠,使用期限長,價格低廉。
▲孔板計算采用標準與加工
▲應用范圍廣,全部單相流皆可測量,部分混相流亦可應用。
▲標準型節流裝置無須實流校準,即可投用。
▲一體型孔板安裝更簡單,無須引壓管,可直接接差壓變送器和壓力變送器。
智能型特點
▲采用進口單晶硅智能差壓傳感器
▲高精度,完善的自診斷功能
▲智能孔板流量計其量程可自編程調整。
▲可同時顯示累計流量、瞬時流量、壓力、溫度。
▲具有在線、動態全補償功能外,還具有自診斷、自行設定量程。
▲配有多種通訊接口
▲穩定性高
▲量程范圍寬、大于10:1
智能型技術指標
▲高精度:0.075%
▲高穩定性:優于0.1%FS/年
▲高靜壓:40MPa
▲連續工作5年不需調校
▲可忽略溫度、靜壓影響
▲抗高過壓
智能型孔板流量計的特點:
采用進口單晶硅智能差壓傳感器
高精度,完善的自診斷功能
智能孔板流量計智能孔板流量計其量程可自編程調整。
智能孔板流量計可同時顯示累計流量、瞬時流量、壓力、溫度。
具有在線、動態全補償功能外,智能孔板流量計還具有自診斷、自行設定量程。
配有多種通訊接口
穩定性高
量程范圍寬、大于10:1
節流件:標準孔板、標準噴嘴、長徑噴嘴、1/4圓孔板、雙重孔板、偏心孔板、圓缺孔板、錐形入口孔板等 取壓裝置:環室、取壓法蘭、夾持環、導壓管等 連接法蘭(國家標準、各種標準及其它設計部門的法蘭) 、緊固件。 測量管
所需參數
1、管道的口徑(管徑*壁厚)
2、孔板流量計測量的介質
3、被測介質的工作溫度
4、被測介質的工作壓力(大壓力、小壓力、正常壓力)
5、被測介質的工作流量(大流量、小流量、正常流量)
6、被測介質的粘度
孔板流量計的技術參數
節流件名稱 | 適用管道 (DN mm) | 適用直徑比B(d/D) | 應用特點 | 流出系數不確定度Ec% | 設計標準 | ||
角接取壓標準孔板 | 環室式 | 50-500 50-500 | 0.2-0.75 0.2-0.75 | 適用于清潔介質其中GD結構適合高溫高壓條件下流量的測量 | 0.6-0.75% | ISO5167 GB/T2624-93 | |
夾緊環式 | 50-500 | 0.2-0.75 | 易于清除污物,可用于不太清潔流體流量的測量 | ||||
斜鉆孔式 | 450-1000(3000) | 0.2-0.75 | |||||
法蘭取壓標準孔板 | 50-1000 | 0.2-0.75 | 易于清除污物,適用于各種介質 | 0.6-0.75% | ISO5167 GB/T2624-93 | ||
徑距取壓標準孔板 | 50-1000 | 0.2-0.75 | |||||
角接取壓標準噴嘴 (ISA1932噴嘴) | 50-500 | 0.3-0.8 | 壓損小,壽命長,尤其適用于蒸汽流量測量 | 0.8-1.2% | ISO5167 GB/T2624-93 | ||
長徑噴嘴 | 50-630 | 0.2-0.8 | 壓損小壽命長,LGP型長徑噴嘴組件適合高參數水和蒸汽流量測量 | 2.0% | ISO5167 GB/T2624-93 | ||
經典文丘利管 | 機械加工式 | 100-800 | 0.2-0.8 | 壓力損失小,所需直管段小于孔板、噴嘴 | 1.0% | ISO5167 GB/T2624-93 | |
粗焊鐵板式 | 200-1200(2000) | 0.4-0.7 | 1.5% | ||||
文丘利噴嘴 | 65-500 | 0.316-0.77 | 同上 | 1.2-1.75% | ISO5167 GB/T2624-93 | ||
1/4圓孔板 | 25-150 | 0.245-0.6 | 適用于低雷諾數 | 2.0-2.5% | DIN BS | ||
錐形入口孔板 | 25-250 | 0.1-0.316 | 同上 | 2.0% | BS | ||
圓缺孔板 | 50-1500 | 0.32-0.8 | 適用于贓污,有氣泡析出或含有固體微粒的流體測量。 | 1.5% | DIN | ||
偏心孔板 | 100-1000 | 0.46-0.84 | 1-2% | ASME | |||
小孔板 | 12.5-40 | 0.2-0.75 | 適用于小管道流量測量 | 0.75% | ASME | ||
透鏡式孔板 | 12.5-150 | 0.2-0.75 | 適用于高壓常溫小管道流量測量 | 0.6-0.75% | ISO5167ASME | ||
端頭孔板 | 大于等于15 | 0.2-0.62 | 1.5-2.0% | ||||
雙重孔板 | 25-400 | 0.2-0.8 | 適用于大流量測量 | ||||
限流孔板 | |||||||
孔板流量計的選型
型號 | 說 明 | |||||||||
| 節流裝置(孔板流量計) | ||||||||||
| 代號 | 按其結構特征的兩大基本分類 | |||||||||
| K | 孔板 | |||||||||
| P | 噴嘴等 | |||||||||
代號 | 公稱壓力(105Pa) | |||||||||
2.5 | 2.5 | |||||||||
10 | 10 | |||||||||
16 | 16 | |||||||||
25 | 25 | |||||||||
64 | 64 | |||||||||
100 | 100 | |||||||||
200 | 200 | |||||||||
代號 | 口徑(mm) | |||||||||
| 10~1600 | 10~1600mm | |||||||||
代號 | 按其結構形式細分 | |||||||||
H | 標準孔板(環室) | |||||||||
Y | 標準孔板(法蘭) | |||||||||
K | 標準孔板(鉆孔) | |||||||||
I | ISA 1932噴嘴 | |||||||||
L | 長徑噴嘴 | |||||||||
W | 文丘利噴嘴 | |||||||||
G | 經典文丘利管 | |||||||||
| S | 雙重孔板 | |||||||||
Q | 圓缺孔板 | |||||||||
Z | 錐形入口孔板 | |||||||||
R | 1/4圓孔板 | |||||||||
P | 偏心孔板 | |||||||||
N | 整體(內藏)孔板 | |||||||||
X | 楔形孔板 | |||||||||
T | 不在上述之列的特殊節流裝置 | |||||||||
代號 | 介質 | |||||||||
1 | 液體 | |||||||||
2 | 氣體 | |||||||||
3 | 蒸汽 | |||||||||
4 | 高溫液體 | |||||||||
代號 | 補償形式 | |||||||||
N | 不帶壓力、溫度補償 | |||||||||
P | 帶壓力補償輸出 | |||||||||
T | 帶溫度補償輸出 | |||||||||
Q | 帶壓力、溫度補償輸出 | |||||||||
代號 | 變送器差壓量程范圍 | |||||||||
0 | 微差壓量程 | |||||||||
1 | 低差壓量程 | |||||||||
2 | 中差壓量程 | |||||||||
3 | 高差壓量程 | |||||||||
代號 | 是否帶現場顯示 | |||||||||
W | 節流裝置傳感器 | |||||||||
X | 智能節流裝置(流量計) | |||||||||
最新資訊文章
- 流速式流量計的安裝注意也需要一定講究
- 氣體渦街流量計在測量蒸汽爐煤氣時出現問題及解決方法
- 孔板流量計測量瓦斯抽放流量時的安裝要求及取壓方式
- 測蒸汽時應選孔板流量計還是渦街流量計?
- 差壓孔板流量計出現故障時 不妨試試以下方法
- 天然氣流量計管道調試故障原因分析
- 插入式流量計的原理與分類
- 如何消除污水流量計工頻干擾和零點漂移
- 孔板流量計:自動化設計廢鋼鐵行業轉行井噴
- 前后直管段太短時孔板流量計應該如何安裝
- 德爾塔巴流量計的安裝要求以及注意
- 高壓孔板流量計在冷凍水檢測中的注意要點及解決方案介紹
- 選型蒸汽流量計時所需要注意的問題介紹
- 導致孔板流量計誤差變大的原因分析
- 孔板流量計測量蒸汽產生誤差的原因分析及解決辦法
- 深入探究影響孔板流量計進行煤氣流量計量的因素
- 質量流量計和控制器引擎蓋下的主要組件詳細介紹
- 淺析階躍溫度及水流速度對金屬管浮子流量計的影響
- 選擇流量計時會犯的10個常見錯誤以及如何避免錯誤
- 運用標準計量器具校正金屬管浮子流量計
- 如何正確安裝蒸汽流量計
- 天燃氣流量計的功能介紹
- 蒸汽流量計運行工作前的準備和調試
- 限流孔板流量計作為流量測量元件的使用條件有哪些
- 環形孔板流量計在各介質中的應用












